Math 218: Matrices and Vectors

Welcome! You have found the homepage of the Spring 2026 manifestation of Math 218.

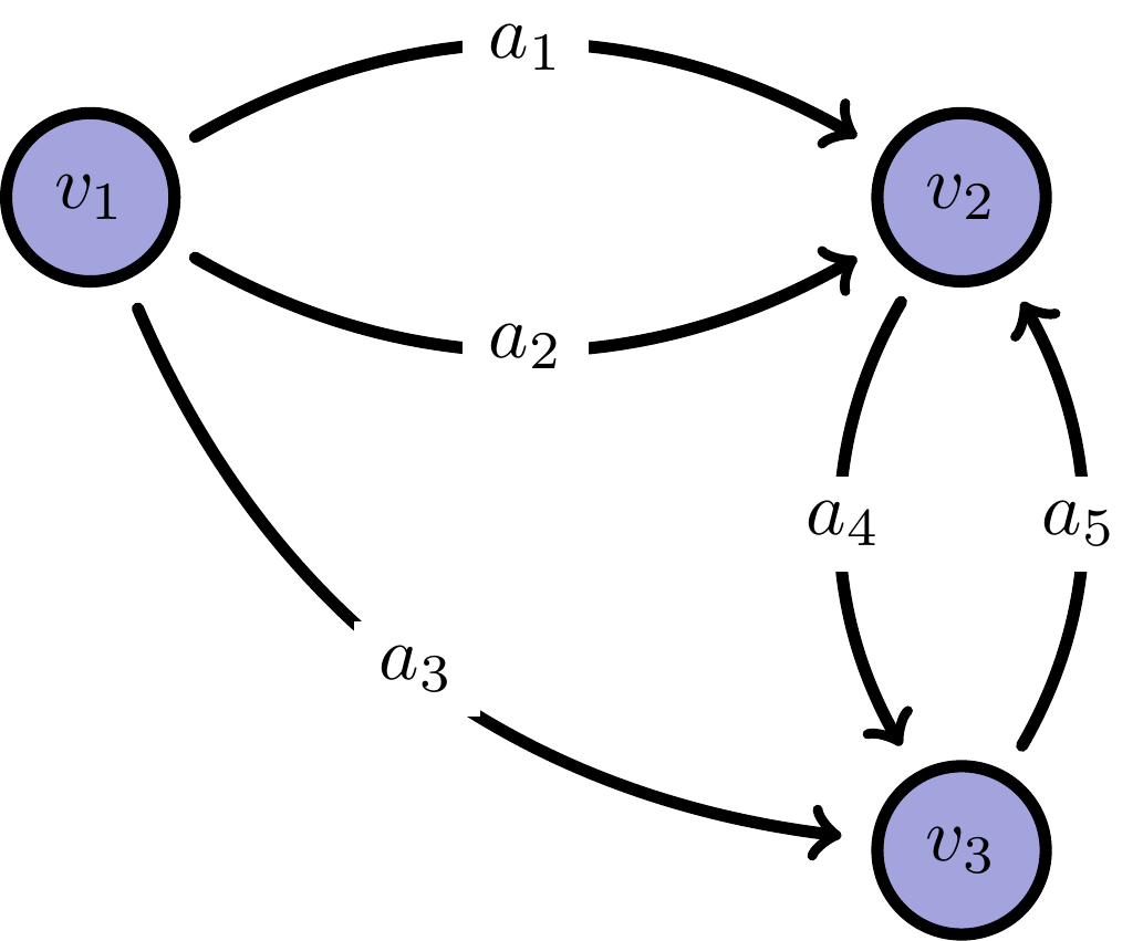
Digraphs

Sage handles digraphs! Consider the following digraph.

digraph

Let's study this digraph!

The syntax G.incidence_matrix() produces the incidence matrix.

Now, suppose we add weights to our digraph.

digraph

We can calculate the net flow through the nodes with a matrix-vector product!